wsMed

The wsMed function is designed for two condition within-subject mediation analysis, incorporating SEM models through the lavaan package and Monte Carlo simulation methods. This document provides a detailed description of the function’s parameters, workflow, and usage, along with an example demonstration.

Installation

You can install the development version of wsMed from GitHub with:

# install.packages("pak")
pak::pak("Yangzhen1999/wsMed")

Alternatively, if you prefer using devtools, you can install wsMed as follows:

# install.packages("devtools")
devtools::install_github("Yangzhen1999/wsMed")

Example

This is a basic example which shows you how to solve a common problem:

library(wsMed)

# Load example data
data(example_data)
set.seed(123)
example_dataN <- mice::ampute(
data = example_data,
prop = 0.1,
)$amp

# Perform within-subject mediation analysis (Parallel mediation model)
result <- wsMed(
data = example_dataN,   #dataset
M_C1 = c("A1","B1"),    # A1/B1 is A/B mediator variable in condition 1
M_C2 = c("A2","B2"),    # A2/B2 is A/B mediator variable in condition 2
Y_C1 = "C1",            # C1 is outcome variable in condition 1
Y_C2 = "C2",            # C2 is outcome variable in condition 2
form = "P",             # Parallel mediation
C_C1 = "D1",            # within-subject covariate (e.g., measured under D1)
C_C2 = "D2",            # within-subject covariate (e.g., measured under C2)
C = "D3",               # between-subject covariates
Na = "MI",              # Use multiple imputation for missing data
standardized = TRUE,    # Request standardized path coefficients and effects
)

# Print summary results
print(result)

Main Function Overview

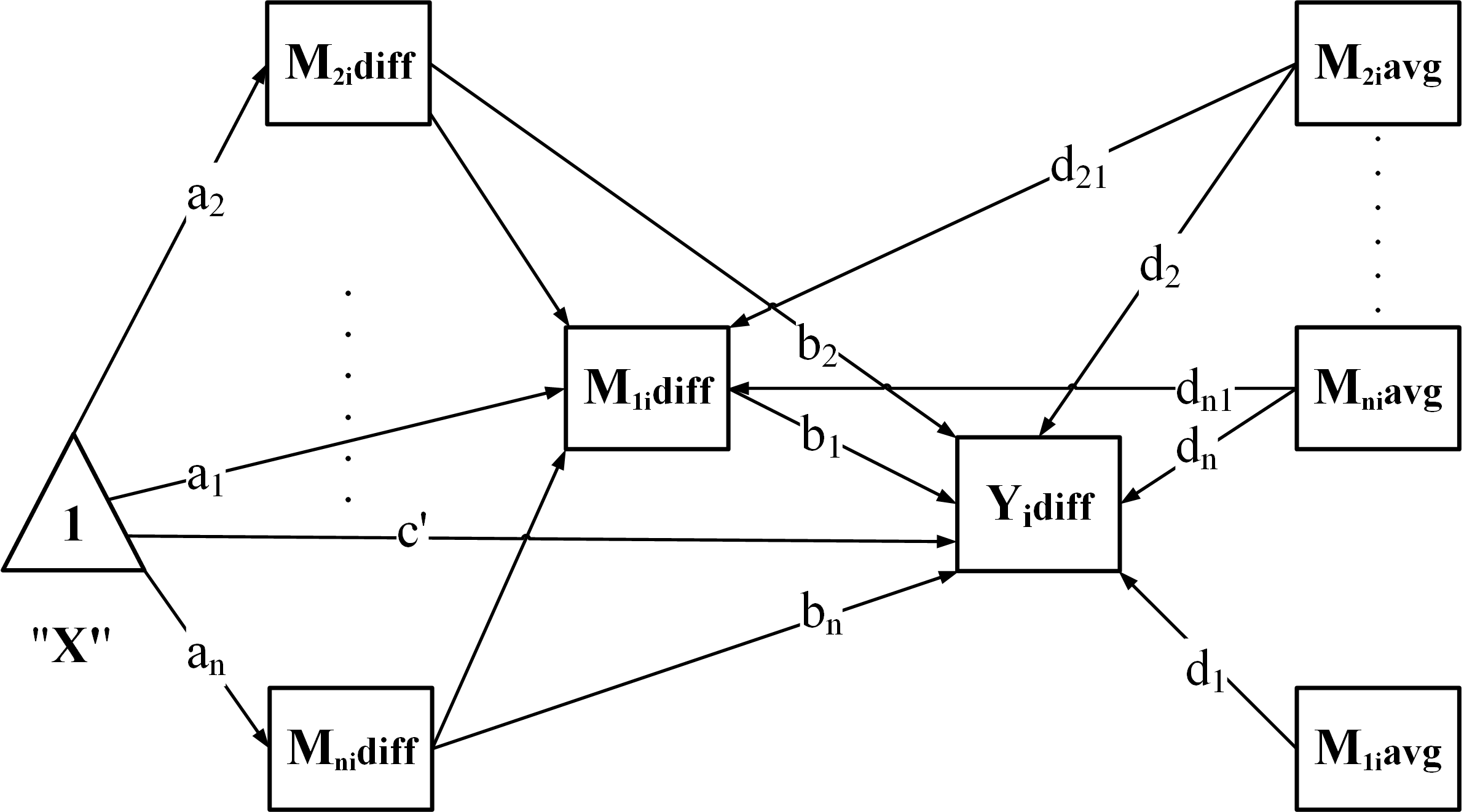
The wsMed() function automates the full workflow for two-condition within-subject mediation analysis. Its main steps are:

  1. Validate inputs – check dataset structure, mediation model type (form), and missing-data settings.

  2. Prepare data – compute difference scores (Mdiff, Ydiff) and centered averages (Mavg) from the two-condition variables.

  3. Build the model – generate SEM syntax according to the chosen structure:

  4. Fit the model – estimate parameters while handling missing data:

  5. Compute inference – provide confidence intervals using:

  6. Optional: Standardization – if standardized = TRUE, return standardized effects with CIs.

  7. Optional: Covariates – automatically center and include: