mtdesign

CRAN status Test Coverage

Introduction

The package mtdesign provides implementations of both Simon (1989) and Mander & Thompson (2010). Other implementations of Simon’s methods are available - for example, the ph2simon function in the clinfun package (Seshan 2018), but these do not provide easy access to non-optimal solutions in the way that mtdesign does. I am not aware of any other R-based implementations of Mander & Thompson’s extension to Simon.

Installation

Once available on CRAN, you can install mtdesign in the usual way:

install.packages("mtdesign")

You can install the development version of mtdesign from GitHub with:

devtools::install_github("openpharma/mtdesign")

Set up vignette environment

# By policy, on CRAN, use only two cores, no matter how many are available.
if (requireNamespace("parallel", quietly = TRUE)) {
  maxCores <- parallel::detectCores()
  maxCores <- ifelse(identical(Sys.getenv("NOT_CRAN"), "true"), maxCores, min(maxCores, 2))
} else {
  maxCores <- 1
}

Example

Suppose that treatments with a response rate of less than 5% are of no interest but those with a response rate of at least 25% are worthy of further development. A Simon’s 2-stage design to seek an efficacy signal with a significance level of 5% and a power of 80% is required.

library(mtdesign)
library(knitr)
library(dplyr)
#> 
#> Attaching package: 'dplyr'
#> The following objects are masked from 'package:stats':
#> 
#>     filter, lag
#> The following objects are masked from 'package:base':
#> 
#>     intersect, setdiff, setequal, union

simonDesign <- obtainDesign(p0 = 0.05, p1 = 0.25, alpha = 0.05, beta = 0.2, mander = FALSE, parallel = FALSE)

simonDesign %>%
  select(-Alpha, -Beta, -p0, -p1, -PETAlt, -AveSizeAlt) %>%
  kable(digits = c(0, 0, 0, 0, 3, 3, 2, 1, NA))
nTotal nStage1 rTotal rFutility Type1 Type2 PETNull AveSizeNull Criterion
17 9 2 0 0.047 0.188 0.63 12.0 optimal
16 12 2 0 0.043 0.199 0.54 13.8 minimax

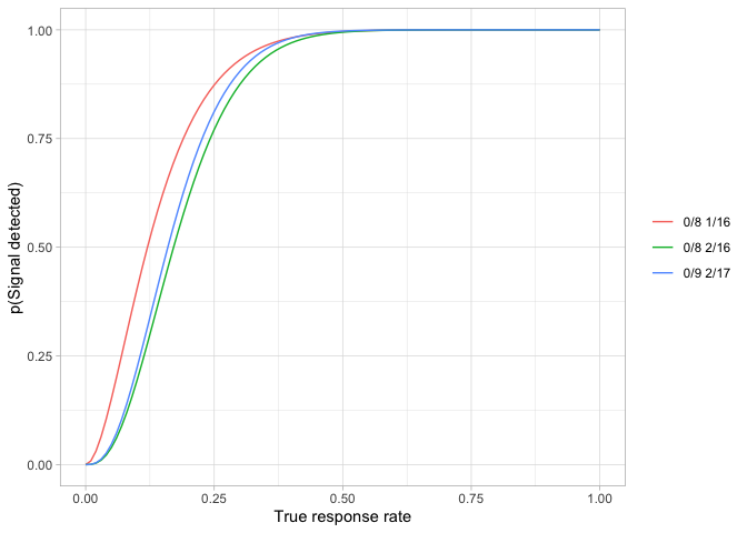
The table shows that the optimal design for these requirements is 0/9 2/17. The expected sample size is 12.0 and the probability of early termination is 63%. The significance level actually achieved is 4.7% and the power level achieved is 100% - 18.8% = 81.2%.

The power curves for both designs are easily plotted.

powerPlot(simonDesign)

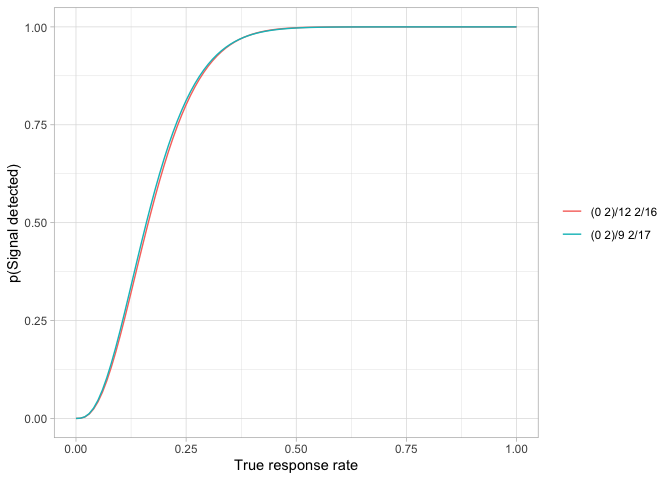
Obtaining the equivalent Mander & Thompson designs requires only a small change to the calls.

manderDesign <- obtainDesign(
  p0 = 0.05,
  p1 = 0.25,
  alpha = 0.05,
  beta = 0.2,
  cores = maxCores
)

manderDesign %>%
  select(-Alpha, -Beta, -p0, -p1) %>%
  kable(digits = c(0, 0, 0, 0, 3, 3, 2, 2, 2, 1, NA))
nTotal nStage1 rTotal rFutility rSuccess Type1 Type2 PETNull PETAlt AveSizeNull AveSizeAlt Criterion
17 9 2 0 2 0.047 0.19 0.64 0.47 11.9 NA optimalNull
16 12 2 0 2 0.043 0.20 0.56 0.64 13.8 NA minimaxNull
17 9 2 0 2 0.047 0.19 0.64 0.47 11.9 NA optimalAlt
16 12 2 0 2 0.043 0.20 0.56 0.64 13.8 NA minimaxAlt

powerPlot(manderDesign)

Constrained designs

Suppose a trial, for whatever reason, is restricted to using 8 participants in each stage. As shown above, the optimal Simon’s two stage design is 0/9 2/17. That’s close to n1 = 8, n = 16. Is there a (slightly) sub-optimal design that has n1 = 8, n = 16?

x <- createGrid(p0 = 0.05, p1 = 0.25, alpha = 0.05, beta = 0.2, mander = FALSE)

y <- x %>% filter(nStage1 == 8, nTotal == 16)
z <- y %>% obtainDesign(cores = maxCores)
#> Warning in (function (fmt, ...) : one argument not used by format
#> 'Parallelisation has been requested, but the grid size [56] is less than the
#> minimum chunk size [1e+05].  Parallelisation will not occur'
#> INFO [2025-12-22 09:50:50] Parallelisation has been requested, but the grid size [56] is less than the minimum chunk size [1e+05].  Parallelisation will not occur
#> Warning: No acceptable designs were found.
#> WARN [2025-12-22 09:50:50] No acceptable designs were found.
if (nrow(z) == 0) {
  print("No acceptable designs were found.")
} else {
  select(-Alpha, -Beta, -p0, -p1, -PETAlt, -AveSizeAlt) %>%
    z() %>%
    select(-Alpha, -Beta, -p0, -p1, -PETAlt, -AveSizeAlt) %>%
    kable(digits = c(0, 0, 0, 0, 3, 3, 2, 1, NA))
}
#> [1] "No acceptable designs were found."

No, there isn’t. How close can we get?

z1 <- y %>% augmentGrid()
#> Warning in (function (fmt, ...) : one argument not used by format
#> 'Parallelisation has been requested, but the grid size [56] is less than the
#> minimum chunk size [1e+05].  Parallelisation will not occur'
#> INFO [2025-12-22 09:50:50] Parallelisation has been requested, but the grid size [56] is less than the minimum chunk size [1e+05].  Parallelisation will not occur

bestSize <- z1 %>%
  filter(Type1 < Alpha) %>%
  slice_min(Type2)
bestSize %>%
  select(-Alpha, -Beta, -p0, -p1, -PETAlt, -AveSizeAlt) %>%
  kable(
    caption = "Best sub-optimal design with required significance level",
    digits = c(0, 0, 0, 0, 3, 3, 2, 1, NA)
  )
nTotal nStage1 rTotal rFutility Type1 Type2 PETNull AveSizeNull
16 8 2 0 0.039 0.229 0.66 10.7

Best sub-optimal design with required significance level


bestPower <- z1 %>%
  filter(Type2 < Beta) %>%
  slice_min(Type1)

bestPower %>%
  select(-Alpha, -Beta, -p0, -p1, -PETAlt, -AveSizeAlt) %>%
  kable(
    caption = "Best sub-optimal design with required power",
    digits = c(0, 0, 0, 0, 3, 3, 2, 1, NA)
  )
nTotal nStage1 rTotal rFutility Type1 Type2 PETNull AveSizeNull
16 8 1 0 0.151 0.127 0.66 10.7

Best sub-optimal design with required power

So the choice lies between a design which achieves the required significance level but has a power of only 77.1% or one which has the required power but which has a significance level of 15.1%. Both designs accept the null hypothesis when no responders are seen in the first group of eight participants. They differ in the critical value at the end of stage 2: 1 to maintain the power, 2 to maintain the significance level.

The power curve for each of these designs can be compared with that for the globally optimal design.

plotData1 <- simonDesign %>%
  filter(Criterion == "optimal") %>%
  bind_rows(list(bestSize, bestPower))
powerPlot(plotData1)

Package structure

The mtdesign package consists of three main functions:

Parallelisation

There is no known closed form solution to obtaining solutions to either Simon’s original equations nor Mander & Thompson’s extensions. The mtdesign package uses a brute force approach to evaluate the operating characteristics of all reasonable potential designs. The grids can be quickly become large, particularly for Mander & Thompson designs. For example, createGrid(0.2, 0.4, alpha=0.1, beta=0.1) creates a grid of almost 11 million candidate designs. mtdesign uses paralellisation to attempt to speed up the evaluation of candidate designs.

The augmentGrid function allows users some control over the parallelisation process:

The parallel package is required for parallelisation. If parallelisation is both needed (ie the grid size exceeds minChunkSize) and requested but the parallel package has not been installed, an error message is thrown and augmentation of the grid stops. If paralellisation is not requested and the grid contains one million or more rows, a warning is produced.

Troubleshooting

If, when installing or using the mtdesign package, you get an error regarding a syntax error in an.hpp file, similar to the following

.../BH/include/boost/math/tools/fraction.hpp:84:48: error: ‘long double’ is not a class, struct, or union type using value_type = typename T::value_type;

the issue is most likely a mismatch between the g++ compiler being used and the headers supplied by the BH package. There are only two solutions that I know of:

References

Mander, AP, and Thompson, SG. 2010. “Two-Stage Designs Optimal Under the Alternative Hypothesis for Phase II Cancer Clinical Trials.” Contemporary Clinical Trials 31 (6): 572–78. https://doi.org/https://www.doi.org/10.1016/j.cct.2010.07.008.
Seshan, VE. 2018. “Clinfun: Clinical Trial Design and Data Analysis Functions.” Software. https://CRAN.R-project.org/package=clinfun.
Simon, R. 1989. “Optimal Two-Stage Designs for Phase II Clinical Trials.” Controlled Clinical Trials 10 (1): 1–10. https://doi.org/https://www.doi.org/10.1016/0197-2456(89)90015-9.