Package {SPEDInstabR}


Version: 2.2
Title: Estimation of the Relative Importance of Factors Affecting Species Distribution Based on Stability Concept
Author: Castor Guisande Gonzalez
Maintainer: Castor Guisande Gonzalez <castor@uvigo.es>
Description: From output files obtained from the software 'ModestR', the relative contribution of factors to explain species distribution is depicted using several plots. A global geographic raster file for each environmental variable may be also obtained with the mean relative contribution, considering all species present in each raster cell, of the factor to explain species distribution. Finally, for each variable it is also possible to compare the frequencies of any variable obtained in the cells where the species is present with the frequencies of the same variable in the cells of the extent.
License: GPL-2 | GPL-3 [expanded from: GPL (≥ 2)]
Encoding: UTF-8
Depends: R (≥ 3.1.1)
Suggests: beanplot, raster, plotrix
Repository: CRAN
NeedsCompilation: no
Packaged: 2024-02-10 20:27:43 UTC; castor
Date/Publication: 2024-02-10 20:50:02 UTC

BEANPLOTS AND BOXPLOTS OF CONTRIBUTION OF FACTORS

Description

It performs beanplots and boxplots with the contribution of environmental factors to explain the distribution of species.

Usage

ContrBB(data, vars, Level=NULL, Taxon=NULL, graph="beanplot", order="decreasing",
side="no", beanlines="median", what=c(1,1,1,1), ll=NULL, border="black", OrderCat=NULL,
LabelCat=NULL, XLAB="Variables", YLAB="Percentage of contribution to instability index",
COLOR=NULL, LEGEND=NULL, MTEXT= NULL, TEXT=NULL, ResetPAR=TRUE, PAR=NULL,
BEANPLOT=NULL, BOXPLOT=NULL)

Arguments

data

Data file, which it may be obtained using DataManager of ModestR. See details section for the explanation of the format of the data.

vars

Environmental factors.

Level

Optionaly, a taxonomic level may be selected, i.e., class, family, order, genus or species.

Taxon

Optionally, it is possible to work only with a selected species, just specifying the name of the taxon or taxa selected within the taxonomic level selected in the argument Level, i.e., name of the order, family, etc. Can be a vector, so several taxa.

graph

Type of plot: "beanplot" or "boxplot".

order

If it is NULL the categories are ordered as found in the argument vars, if it is "increasing" are ordered from lesser to greater median or mean according to the method selected in the argument beanlines, if it is "decreasing" are ordered from greater to lesser median or mean, if it is "alhaAZ" are ordered from A to Z and if it is "alphaZA" from Z to A. If the method selected in beanlines="quantiles", it is used the median for both "increasing" and "decreasing".

side

The side on which the beans are plot. Default is "no", for symmetric beans. The options "first", "second" and "both" are also supported.

beanlines

The method used for determining the average bean lines. Default is value "median", and other options are "mean" and "quantiles".

what

A vector of four booleans describing what to plot. In the following order, these booleans stand for the total average line, the beans, the bean average, and the beanlines. For example, what=c(0,0,0,1) produces a stripchart.

ll

Length of the beanline per point found.

border

Color of the border around the bean.

OrderCat

It allows to specify a vector with the order in which the categories are shown. If this argument is specified, the argument order is not taken into account.

LabelCat

It allows to specify a vector with the names of the categories.

XLAB

Legend of X axis.

YLAB

Legend of Y axis.

COLOR

Vector with the color of the categories or just one color for all categories.

LEGEND

It allows to include a legend to the graph.

MTEXT

It allows to add text on the margins of the graph.

TEXT

It allows to add text in any area of the inner part of the graph.

ResetPAR

If it is FALSE, the default condition of the function PAR is not placed and maintained those defined by the user in previous graphics.

PAR

It accesses the function PAR, allowing to modify different aspects of the graph.

BEANPLOT

It allows to specify the characteristics of the function beanplot of the beanplot package (Kampstra, 2008; Kampstra, 2015).

BOXPLOT

It allows to specify the characteristics of the function boxplot of graphics package.

Details

The CSV file required in the argument data has the following format: class, order, family, genus and species, along with the contribution of the environmental variables. This file may be obtained using ModestR (Garcia-Rosello et al., 2013; available at the web site using the following menu: Export/Export checked maps/To RWizard Applications/To SPEDInstab. The default name of this file obtained from ModestR is "Contribution.CSV".

FUNCTIONS

The beanplot is performed with the function beanplot of the beanplot package (Kampstra, 2008; Kampstra, 2015). The boxplot is performed with the function boxplot of graphics package.

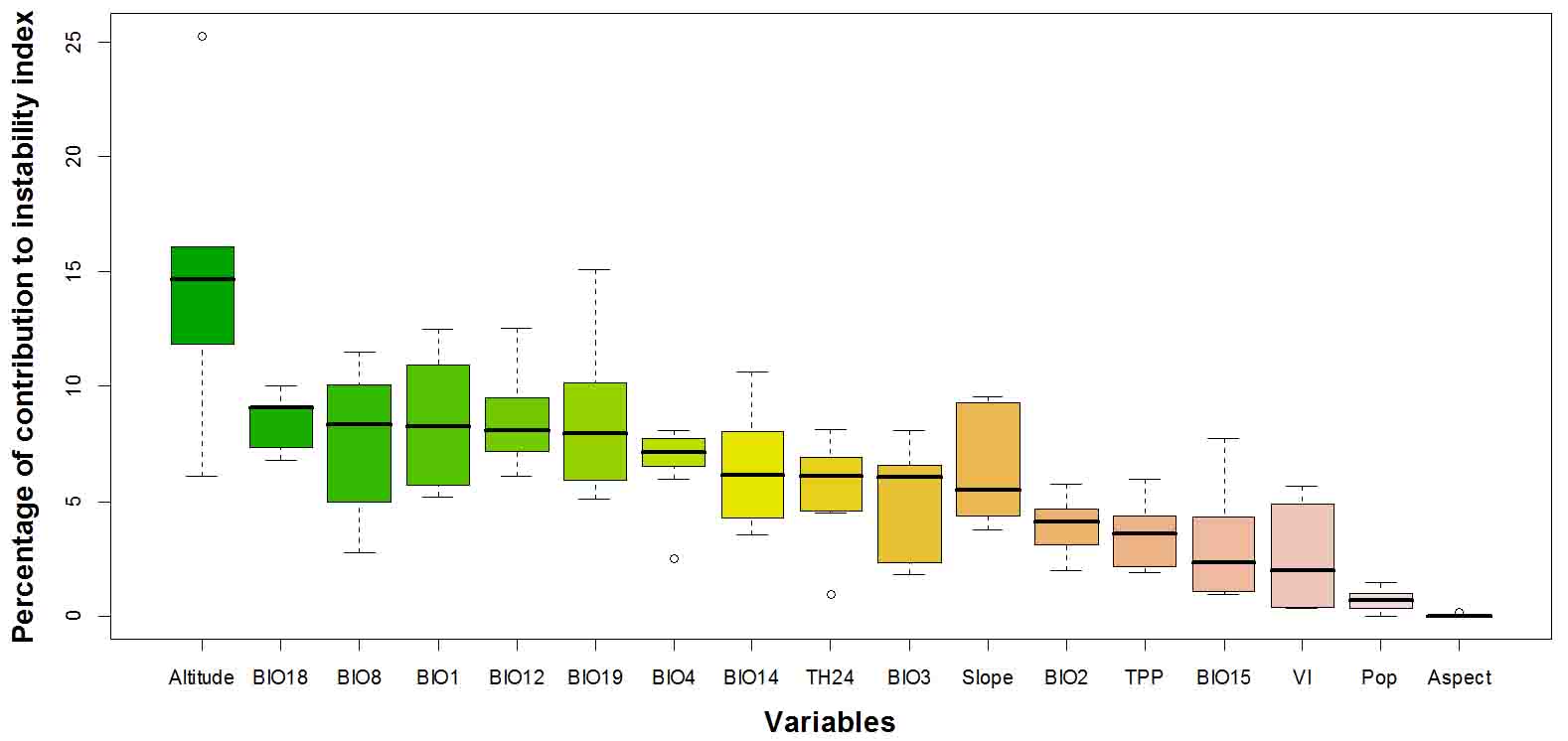
EXAMPLE

In the example, it was estimated the relative contribution of some factors on the distribution of some freshwater species (Guisande et al., 2010; Pelayo-Villamil et al., 2015).

F1.jpg

Value

A beanplot or boxplot is obtained.

References

Garcia-Rosello, E., Guisande, C., Gonzalez-Dacosta, J., Heine, J., Pelayo-Villamil, P., Manjarres-Hernandez, A., Vaamonde, A. & Granado-Lorencio, C. (2013) ModestR: a software tool for managing and analyzing species distribution map databases. Ecography, 36, 1202-1207.

Guisande, C., Manjarres-Hernandez, A., Pelayo-Villamil, P., Granado-Lorencio, C., Riveiro, I., Acuña, A., Prieto-Piraquive, E., Janeiro, E., Matias, J.M., Patti, C., Patti, B., Mazzola, S., Jimenez, S., Duque, V. & Salmeron, F. (2010) IPez: An expert system for the taxonomic identification of fishes based on machine learning techniques. Fisheries Research, 102, 240-247.

Kampstra, P (2008). Beanplot: A Boxplot Alternative for Visual Comparison of Distributions. Journal of Statistical Software, Code Snippets, 28: 1-9.

Kampstra, P (2015) Visualization via Beanplots (like Boxplot/Stripchart/Violin Plot). R package version 1.2. Available at: https://CRAN.R-project.org/package=beanplot.

Pelayo-Villamil, P., Guisande, C., Vari, R.P., Manjarres-Hernandez, A., Garcia-Rosello, E., Gonzalez-Dacosta, J. et al. (2015) Global diversity patterns of freshwater fishes - potential victims of their own success. Diversity and Distributions, 21, 345-356.

Examples


data(FishFC)

ContrBB(data=FishFC, vars=c("Altitude","Aspect","BIO1","BIO12", "BIO14","BIO15","BIO18",
"BIO19","BIO2","BIO3","BIO4","BIO8","Pop","TPP","Slope","TH24","VI"), graph="boxplot")

CONTRIBUTION MAPS

Description

It creates global geographic ESRI ASCII raster files with the mean relative contribution of the factors (considering all species present in the cell).

Usage

ContrMap(data, vars, Species, Level=NULL, Taxon=NULL, jpg=FALSE)

Arguments

data

Data file, which it may be obtained using DataManager of ModestR. See details section of the function ContrBB for the explanation of the format of the data. IMPORTANT: It is also necessary the ESRI ASCII raster files with the distribution of the species obtained from ModestR, which are saved by default in a folder named "Species". Therefore, the working directory must be this folder with the ESRI ASCII raster files of the distribution of the species.

vars

Factors.

Species

Variable with the name of the species.

Level

Optionally, a taxonomic level may be selected, i.e., class, family, order, genus or species.

Taxon

Optionally, it is possible to work only with a selected species, just specifying the name of the taxon or taxa selected within the taxonomic level selected in the argument Level, i.e., name of the order, family, etc. Can be a vector, so several taxa.

jpg

If TRUE the plots are exported to jpg files instead of using the windows device.

Details

FUNCTIONS

The raster file is created using the functions raster, writeRaster and setValues of the package raster (Hijmans et al., 2015).

Value

ESRI ASCII raster files are obtained for each factor selected in the argument vars. Each raster cell is the mean relative contribution of the factor considering all species present in the cell. This raster map be displayed with MapMaker of ModestR (Garcia-Rosello et al., 2013), the function Rmap or any GIS software.

References

Hijmans, R.J., Etten, J. van, Cheng, J., Mattiuzzi, M., Sumner, M., Greenberg, J.A., Lamigueiro, O.P., Bevan, A., Racine, E.B., Shortridge, A., (2015) Geographic Data Analysis and Modeling. R package version 2.5-8. Available at: https://CRAN.R-project.org/package=raster.


FACTORS AND FRESHWATER FISH SPECIES

Description

Relative contribution of factors to explain the distribution of some freshwater fish species of the orders Amiiformes, Atheriniformes and Perciformes. The file was obtained using ModestR.

Usage

data(FishFC)

Format

An data frame with 22 columns: taxonomic data (order, family, genus and species) and the contribution of 17 factors.

Source

The records of the species and some environmental variables such as altitude, aspect, slope, topographic heterogeneity (TH24), terrestrial primary production (TPP), vegetation index (VI) and population density (Pop) were obtained from Guisande et al. (2010) and Pelayo-Villamil et al. (2015). The variables mean annual temperature (BIO1), temperature diurnal range (BIO2), isothermality (BIO3), temperature seasonality (BIO4), mean temperature of wettest quarter (BIO8), annual precipitation (BIO12), precipitation of driest month (BIO14), precipitation seasonality (BIO15), precipitation of warmest quarter (BIO18) and precipitation of coldest quarter (BIO19) were downloaded from the web https://www.worldclim.org/.

References

Guisande, C., Manjarres-Hernandez, A., Pelayo-Villamil, P., Granado-Lorencio, C., Riveiro, I., Acuña, A., Prieto-Piraquive, E., Janeiro, E., Matias, J.M., Patti, C., Patti, B., Mazzola, S., Jimenez, S., Duque, V. & Salmeron, F. (2010) IPez: An expert system for the taxonomic identification of fishes based on machine learning techniques. Fisheries Research, 102, 240-247.

Hijmans, R.J., Cameron, S.E., Parra, J.L., Jones, P.G. and Jarvis, A. (2005) Very high resolution interpolated climate surfaces for global land areas. International Journal of Climatology, 25, 1965-1978.

Pelayo-Villamil, P., Guisande, C., Vari, R.P., Manjarres-Hernandez, A., Garcia-Rosello, E., Gonzalez-Dacosta, J. et al. (2015) Global diversity patterns of freshwater fishes - potential victims of their own success. Diversity and Distributions, 21, 345-356.


INSTABILITY INDEX AND FREQUENCIES FOR PRESENCES AND THE EXTENT

Description

Instability index of some freshwater fish species of the orders Amiiformes and Perciformes. The file was obtained using ModestR (Pelayo-Villamil et al., 2012; Garcia-Roselló et al., 2013).

Usage

data(Instability)

Format

An data frame with 15 columns: taxonomic data (order, family, genus and species), variable, number of interval, value of the interval, frequencies of the cells of presence and the extent, frequencies standardized to 0-1 for both the cells of presence and the extent, instability, instability standardized to 0-1 and the contribution of the factor in percentage.

Source

As mentioned in FishFC.


COMPARISON OF THE FREQUENCIES OF A FACTOR BETWEEN PRESENCES AND THE EXTENT

Description

It performs a plot comparing the mean and standard deviation of the frequencies between the cells of presence and the cells of the extent.

Usage

PreExt(data, var, envar, Interval, Interval.Value, Pre, Extent, Level=NULL,
Taxon=NULL, ResetPAR=TRUE, PAR=NULL, PLOT=NULL, XLAB=NULL, YLAB="Frequency",
MAIN=NULL, COLOR=c("#00FF0032","#FF000032"), XLIM=NULL, YLIM=NULL, TYPE="l",
LTY=c(1,2), PCH=NULL, LEGEND=NULL, AXIS=NULL, MTEXT= NULL, TEXT=NULL)

Arguments

data

Data file, which it may be obtained using DataManager of ModestR. See details section for the explanation of the format of the data.

var

Variable with the names of the factors.

envar

Factor.

Interval

Variable with the intervals.

Interval.Value

Variable with the values of the intervals.

Pre

Values of intervals for the presences.

Extent

Values of intervals for the extent.

Level

Optionally, a taxonomic level may be selected, i.e., class, family, order, genus or species.

Taxon

Optionally, it is possible to work only with a selected species, just specifying the name of the taxon or taxa selected within the taxonomic level selected in the argument Level, i.e., name of the order, family, etc. Can be a vector, so several taxa.

ResetPAR

If it is FALSE, the default condition of the function PAR is not placed and maintained those defined by the user in previous graphics.

PAR

It accesses the function PAR, allowing to modify different aspects of the graph.

PLOT

It allows to specify the characteristics of the function plot.default.

XLAB

Legend of X axis.

YLAB

Legend of Y axis.

MAIN

Main title of the plot. Default is the name of the environmental factor selected in the argument envar.

COLOR

Vector with the color of the presences and absences.

XLIM

Vector with the limits of the X axis.

YLIM

Vector with the limits of the Y axis.

TYPE

Type of plot. The following values are possible: "p" for points, "l" for lines, "b" for both points and lines, "c" for empty points joined by lines, "o" for overplotted points and lines, "s" and "S" for stair steps and "h" for histogram-like vertical lines. Finally, "n" does not produce any points or lines.

LTY

The line type. Line types can either be specified as an integer (0=blank, 1=solid (default), 2=dashed, 3=dotted, 4=dotdash, 5=longdash, 6=twodash) or as one of the character strings "blank", "solid", "dashed", "dotted", "dotdash", "longdash", or "twodash", where "blank" uses invisible lines (i.e., does not draw them).

PCH

Graphic symbol.

LEGEND

It allows to include a legend to the graph.

AXIS

It allows to add axes to the graph.

MTEXT

It allows to add text on the margins of the graph.

TEXT

It allows to add text in any area of the inner part of the graph.

Details

The CSV file required in the argument data has the following format: class, order, family, genus and species, along with the frequencies for presence and for the extent. This file may be obtained using ModestR (Garcia-Rosello et al., 2013; available at the web site using the following menu: Export checked maps/To RWizard Applications/To SPEDInstab. The default name of this file obtained from ModestR is "Instability.CSV".

FUNCTIONS

The plot is performed with the function plot.default of base graphics package

EXAMPLE

In the example, it was estimated the instability index for several species of the orders Amiiformes and Perciformes (Guisande et al., 2010; Pelayo-Villamil et al., 2015). It is shown the percentiles of the variable altitude for presence and the extent.

F3.jpg

Value

A plot is obtained.

References

Garcia-Rosello, E., Guisande, C., Gonzalez-Dacosta, J., Heine, J., Pelayo-Villamil, P., Manjarres-Hernandez, A., Vaamonde, A. & Granado-Lorencio, C. (2013) ModestR: a software tool for managing and analyzing species distribution map databases. Ecography, 36, 1202-1207.

Guisande, C., Manjarres-Hernandez, A., Pelayo-Villamil, P., Granado-Lorencio, C., Riveiro, I., Acuña, A., Prieto-Piraquive, E., Janeiro, E., Matias, J.M., Patti, C., Patti, B., Mazzola, S., Jimenez, S., Duque, V. & Salmeron, F. (2010) IPez: An expert system for the taxonomic identification of fishes based on machine learning techniques. Fisheries Research, 102, 240-247.

Pelayo-Villamil, P., Guisande, C., Vari, R.P., Manjarres-Hernandez, A., Garcia-Rosello, E., Gonzalez-Dacosta, J. et al. (2015) Global diversity patterns of freshwater fishes - potential victims of their own success. Diversity and Distributions, 21, 345-356.

Examples


data(Instability)

PreExt(data=Instability, var="Variable", envar="Altitude", Interval="Interval",
Interval.Value="Interval.Value", Pre="Presence.Prop", Extent="Extent.Prop",
XLAB="Altitude (m)")

RASTER MAP

Description

Enables mapping of administrative areas with high resolution and raster maps of environmental variables, biogeographic indexes, species richness, etc.

Usage

Rmap(data, Area="World", minLon, maxLon, minLat, maxLat, colbg="#FFFFFF",
colcon="#C8C8C8", colf="black", pro=TRUE, inc=0.005, exclude=NULL,
colexc=NULL, colfexc="black", colscale=c("#C8FFFFFF", "#64FFFFFF", "#00FFFFFF",
"#64FF64FF", "#C8FF00FF", "#FFFF00FF", "#FFC800FF", "#FF6400FF","#FF0000FF"),
legend.pos="y", breaks=10, xl=0, xr=0, yb=0, yt=0, asp, lab=NULL,  xlab="Longitude",
ylab="Latitude", main=NULL, cex.main=1.2, cex.lab=1, cex.axis=0.9, cex.legend=0.9,
family="sans", font.main=2, font.lab=1, font.axis=1, lwdP=0.6, lwdC=0.1, trans=c(1,1),
log=c(0,0), ndigits=0, ini=NULL, end=NULL, jpg=FALSE, filejpg="Map.jpg")

Arguments

data

A matrix (see details section) or an ESRI ASCII raster file with the environmental variable, data of richness, etc.

Area

Only if using RWizard. A character with the name of the administrative area or a vector with several administrative areas (countries, regions, etc.) or river basins. If it is "World" (default) the entire world is plotted. For using administrative areas or river basins, in addition to use RWizard, it is also necessary to replace data(world) by @_Build_AdWorld_ (see example 2).

minLon, maxLon

Optionally it is possible to define the minimum and maximum longitude.

minLat, maxLat

Optionally it is possible to define the minimum and maximum latitude.

colbg

Background color of the map (in some cases this is the sea).

colcon

Background color of the administrative areas.

colf

Color of administrative areas border.

pro

If it is TRUE an automatic calculation is made in order to correct the aspect ratio y/x along latitude.

inc

Adds some room along the map margins with the limits x and y thus not exactly the limits of the selected areas.

exclude

A character with the name of the administrative area or a vector with several administrative areas that may be plotted with a different color on the map (only if using RWizard).

colexc

Background color of areas selected in the argument exclude.

colfexc

Color of borders of the areas selected in the argument exclude.

colscale

Palette color.

legend.pos

Whether to have a horizontal "x" or vertical "y" color scale.

breaks

Number of breakpoints of the color legend.

xl, xr, yb, yt

The lower left and upper right coordinates of the color legend in user coordinates.

asp

The y/x aspect ratio.

lab

A numerical vector of the form c(x, y) which modifies the default way that axes are annotated. The values of x and y give the (approximate) number of tickmarks on the x and y axes.

xlab

A title for the X axis.

ylab

A title for the Y axis.

main

An overall title for the plot.

cex.main

The magnification to be used for main titles relative to the current setting of cex.

cex.lab

The magnification to be used for X and Y labels relative to the current setting of cex.

cex.axis

The magnification to be used for axis annotation relative to the current setting of cex.

cex.legend

The magnification to be used for the color scale relative to the current setting of cex.

family

The name of a font family for drawing text.

font.main

The font to be used for plot main titles.

font.lab

The font to be used for x and y labels.

font.axis

The font to be used for axis annotation.

lwdP

Line width of the plot.

lwdC

Line width of the borders.

trans

It is possible to multiply or divide the dataset by a value. For a vector with two values, the first may be 0 (divide) or 1 (multiply), and the second number is the value of the division or multiplication.

log

It is possible to apply a logarithmic transformation to the dataset. For a vector with two values, the first may be 0 (do not log transform) or 1 (log transformation), and the second number is the value to be added in case of log transformation.

ndigits

Number of decimals in legend of the color scale.

ini

Minimum to be considered in the color scale.

end

Maximum to be considered in the color scale.

jpg

If TRUE the plots are exported to jpg files instead of using the windows device.

filejpg

Name of the jpg file.

Details

The matrix required in the argument data may be obtained using ModestR: Export/Export checked maps/To RWizard Applications/To MapsR. It is also possible to use an ESRI ASCII raster file obtained with the function ContrMap or with any other software.

FUNCTIONS

The function color.legend of the package plotrix (Lemon et al., 2014) is used for building the map.

EXAMPLE

Example 1. An ESRI ASCII raster file obtained with the function ContrMap is used to obtain the map displayed below, which is the mean contribution to explain species distribution of some freshwater fish species, in cells of 1 degree, of the variable vegetation index.

F2.jpg

Value

A map is obtained.

References

Lemon, J. (2006) Plotrix: a package in the red light district of R. R-News, 6(4):8-12.

Lemon, J., Bolker, B., Oom, S., Klein, E., Rowlingson, B., Wickham, H., Tyagi, A., Eterradossi, O., Grothendieck, G., Toews, M., Kane, J., Turner, R., Witthoft, C., Stander, J., Petzoldt, T., Duursma, R., Biancotto, E., Levy, O., Dutang, C., Solymos, P., Engelmann, R., Hecker, M., Steinbeck, F., Borchers, H., Singmann, H., Toal, T. & Ogle, D. (2015). Various plotting functions. R package version 3.6-1. Available at: https://CRAN.R-project.org/package=plotrix.

Examples

## Not run: 

#Example 1

#If using RWizard, for a better quality of the geographic
#coordinates, replace data(adworld) by @_Build_AdWorld_
data(adworld)
data(VI)
Rmap(data=VI, colscale=rev(heat.colors(100)),
main= "Percentage of contribution of vegetation index")

#Example 2. Only to be used with RWizard and the map is exported to a jpg

data(VI)
@_Build_AdWorld_
Rmap(data = VI , Area = c("Argentina", "Bolivia", "Brazil", "Chile", "Colombia",
"Ecuador", "French Guiana", "Guyana", "Paraguay", "Peru", "Suriname",
"Uruguay", "Venezuela","Panama","Nicaragua","Costa Rica"),
main = "Percentage of contribution of vegetation index", jpg=TRUE)

## End(Not run)

CONTRIBUTION OF VEGETATION INDEX

Description

Relative contribution of vegetation index to explain species distribution of freshwater fish species, in cells of 1 degree around the world.

Usage

data(VI)

Format

A matrix with 180 rows (latitudes) and 360 columns (longitudes).


GEOGRAPHICAL COORDINATES

Description

Latitude and longitude of all administrative areas

Usage

data(adworld)

Format

A matrix of many rows and 3 columns (Latitude, Longitude and name of the administrative area)

Source

Latitude and longitude coordinates of the administrative areas were obtained from the web page https://www.openstreetmap.org.