README

R-CRAN-check R-tests CRAN status

Robust Bayesian Meta-Analysis (RoBMA)

This package estimates an ensemble of meta-analytic models (assuming either the presence or absence of effect, heterogeneity, and publication bias) and uses Bayesian model averaging to combine them. The ensemble uses Bayes factors to test for the presence of absence of the individual components (e.g., effect vs. no effect) and model-averages parameter estimates based on posterior model probabilities. The package includes more complex models such as meta-regression and multilevel meta-analysis. The user can define a wide range prior distributions for the effect size, heterogeneity, publication bias components (including selection, PET, and PEESE style models), and moderators. The package provides convenient functions for summary, visualizations, and fit diagnostics. The package is designed to be user-friendly and provides a wide range of customization options. The package is also integrated into the JASP software (JASP Team, 2020) and can be used via the graphical user interface (see Bartoš & Wagenmakers (2025)).

See our manuscripts for technical details and examples:

We also prepared multiple vignettes that illustrate functionality of the package. See the Guide to RoBMA Vignettes for an overview or explore them directly:

Updates

Backwards Compatibility

Please note that the major releases of RoBMA break backwards compatibility. The latest version of RoBMA 1 can be installed using

remotes::install_version("RoBMA", version = "1.2.1")

and the latest version of RoBMA 2 can be installed using

remotes::install_version("RoBMA", version = "2.3.2")

(Or use the source packages archived with at OSF repositories associated with the corresponding projects.)

News

The 3.0 version brings several features to the package:

The 2.0 version brought several updates to the package:

Installation

The package requires JAGS 4.3.2 to be installed. The release version can be installed from CRAN:

install.packages("RoBMA")

and the development version of the package can be installed from GitHub:

devtools::install_github("FBartos/RoBMA")

Example

To illustrate the functionality of the package, we fit the RoBMA-PSMA model from the example in Bartoš, Maier, et al. (2023) to adjust for publication bias in the infamous Bem (2011) “Feeling the future” pre-cognition study. The RoBMA-PSMA model combines six selection models and PET-PEESE to adjust for publication bias. As in the pre-print, we analyze the data as described by Bem et al. (2011) in his reply to methodological critiques.

First, we load the package and the data set included in the package.

library(RoBMA)
#> Loading required namespace: runjags
#> Loading required namespace: mvtnorm
#> RoBMA version 3.3 now features spike-and-slab style model-averaging via the 'algorithm = "ss"' argument.
#> See 'vignette("FastRoBMA", package = "RoBMA")' for more details ('algorithm = "ss"' argument will become the default setting in the future major release of the package).

data("Bem2011", package = "RoBMA")
Bem2011
#>      d         se                                        study
#> 1 0.25 0.10155048                  Detection of Erotic Stimuli
#> 2 0.20 0.08246211                Avoidance of Negative Stimuli
#> 3 0.26 0.10323629                        Retroactive Priming I
#> 4 0.23 0.10182427                       Retroactive Priming II
#> 5 0.22 0.10120277  Retroactive Habituation I - Negative trials
#> 6 0.15 0.08210765 Retroactive Habituation II - Negative trials
#> 7 0.09 0.07085372             Retroactive Induction of Boredom
#> 8 0.19 0.10089846                     Facilitation of Recall I
#> 9 0.42 0.14752627                    Facilitation of Recall II

Then, we fit the meta-analytic model ensemble that is composed of 36 models (the new default settings of RoBMA fitting function). These models represent all possible combinations of prior distributions for the following components:

The prior odds of the components are by default set to make all three model categories equally likely a priory (0.5 prior probability of the presence of the effect, 0.5 prior probability of the presence of the heterogeneity, and 0.5 prior probability of the presence of the publication bias). The prior model probability of the publication bias adjustment component is further split equally among the selection models represented by the six weightfunctions and the PET-PEESE models.

fit <- RoBMA(d = Bem2011$d, se = Bem2011$se, study_names = Bem2011$study, seed = 1)

The main summary can be obtained using the summary.RoBMA() function.

The first table shows an overview of the ensemble composition. The number of models, the prior and posterior model probabilities, and inclusion Bayes factor of the ensemble components representing the alternative hypothesis of the presence of the effect, heterogeneity, and publication bias, We can see the data show very weak evidence, barely worth mentioning, against the presence of the effect (\(\text{BF}_{10} = 0.479\) -> \(\text{BF}_{01} = 2.09\)), moderate evidence for the absence of heterogeneity (\(\text{BF}_{\text{rf}} = 0.143\) -> \(BF_{\text{fr}} = 7.00\)), and strong evidence for the presence of publication bias (\(\text{BF}_{\text{pb}} = 16.32\)).

The second table shows model-averaged estimates weighted by the individual models’ posterior probabilities. The mean estimate \(\mu =0.037\), 95% CI [-0.041, 0.213], is very close to zero, corresponding to the a priory expected absence of pre-cognition. The heterogeneity estimate \(\tau\) has most of its probability mass around zero due to the higher support of models assuming absence of the heterogeneity. The parameters omega, representing the publication weights at each p-value interval are decreasing with increasing p-values, showing the publication bias, as well as the non zero PET and PEESE estimates.

summary(fit)
#> Call:
#> RoBMA(d = Bem2011$d, se = Bem2011$se, study_names = Bem2011$study, 
#>     seed = 1)
#> 
#> Robust Bayesian meta-analysis
#> Components summary:
#>               Models Prior prob. Post. prob. Inclusion BF
#> Effect         18/36       0.500       0.324        0.479
#> Heterogeneity  18/36       0.500       0.125        0.143
#> Bias           32/36       0.500       0.942       16.323
#> 
#> Model-averaged estimates:
#>                    Mean Median  0.025  0.975
#> mu                0.037  0.000 -0.041  0.213
#> tau               0.010  0.000  0.000  0.113
#> omega[0,0.025]    1.000  1.000  1.000  1.000
#> omega[0.025,0.05] 0.935  1.000  0.338  1.000
#> omega[0.05,0.5]   0.780  1.000  0.009  1.000
#> omega[0.5,0.95]   0.768  1.000  0.007  1.000
#> omega[0.95,0.975] 0.786  1.000  0.007  1.000
#> omega[0.975,1]    0.801  1.000  0.007  1.000
#> PET               0.759  0.000  0.000  2.805
#> PEESE             6.183  0.000  0.000 25.463
#> The estimates are summarized on the Cohen's d scale (priors were specified on the Cohen's d scale).
#> (Estimated publication weights omega correspond to one-sided p-values.)

We can visualize the estimated mean and heterogeneity parameters using the plot.RoBMA() function. The arrows in both figures represent the point probability mass at \(\mu = 0\) and \(\tau = 0\), corresponding to the null hypotheses of the absence of effect and heterogeneity, both increasing in the posterior model probability from 0.5 to 0.676 and 0.875 respectively.

plot(fit, parameter = "mu", xlim = c(-0.5, 0.5))

plot(fit, parameter = "tau")

We can further visualize the publication bias adjustments of selection models, visualizing the posterior estimate of the model-averaged weightfunction that shows a sharp decrease in the publication weights of studies with p-values above the “marginal significance” (0.10) level,

plot(fit, parameter = "weightfunction", rescale_x = TRUE)

and the PET-PEESE publication bias adjustment, visualizing the individual studies’ standard errors and effect sizes as diamonds and the model-averaged estimate of the regression lines that shows a steady increase of effect sizes with increasing standard errors.

plot(fit, parameter = "PET-PEESE", xlim = c(0, 0.25))

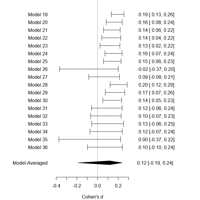
The usual meta-analytic forest plot can be obtained with the forest() function,

forest(fit)

and visualization of the effect size estimates from models assuming presence of the effect can be obtained with the plot_models() function.

plot_models(fit, conditional = TRUE)

Apart from plotting, the individual model performance can be inspected using the summary.RoBMA() function with argument type = "models" or the overview of the individual model MCMC diagnostics can be obtained by setting type = "diagnostics" (not shown here for the lack of space).

We can also visualize the MCMC diagnostics using the diagnostics function. The function can display the chains type = "chain" / posterior sample densities type = "densities", and averaged auto-correlations type = "autocorrelation". Here, we request the chains trace plot of the \(\mu\) parameter of the most complex model by setting show_models = 36 (the model numbers can be obtained from the summary function with type = "models" argument).

diagnostics(fit, parameter = "mu", type = "chains", show_models = 36)

The package allows to fit highly customized models with different prior distribution functions, prior model probabilities, and provides more visualization options. See the documentation to find out more about the specific functions: RoBMA(), priors(), plot.RoBMA(). The main package functionality is also implemented within the Meta Analysis module of JASP 0.14 (JASP Team, 2020) and will be soon updated to accommodate the 2.0 version of the package.

References

Bartoš, F., Gronau, Q. F., Timmers, B., Otte, W. M., Ly, A., & Wagenmakers, E.-J. (2021). Bayesian model-averaged meta-analysis in medicine. Statistics in Medicine, 40(30), 6743–6761. https://doi.org/10.1002/sim.9170
Bartoš, F., Maier, M., Quintana, D. S., & Wagenmakers, E.-J. (2022). Adjusting for publication bias in JASP and R — Selection models, PET-PEESE, and robust Bayesian meta-analysis. Advances in Methods and Practices in Psychological Science, 5(3), 1–19. https://doi.org/10.1177/25152459221109259
Bartoš, F., Maier, M., Stanley, T., & Wagenmakers, E.-J. (2025). Robust Bayesian meta-regression: Model-averaged moderation analysis in the presence of publication bias. Psychological Methods. https://doi.org/10.1037/met0000737
Bartoš, F., Maier, M., & Wagenmakers, E.-J. (2025). Robust Bayesian multilevel meta-analysis: Adjusting for publication bias in the presence of dependent effect sizes. https://doi.org/10.31234/osf.io/9tgp2_v1
Bartoš, F., Maier, M., Wagenmakers, E.-J., Doucouliagos, H., & Stanley, T. D. (2023). Robust Bayesian meta-analysis: Model-averaging across complementary publication bias adjustment methods. Research Synthesis Methods, 14(1), 99–116. https://doi.org/10.1002/jrsm.1594
Bartoš, F., Otte, W. M., Gronau, Q. F., Timmers, B., Ly, A., & Wagenmakers, E.-J. (2023). Empirical prior distributions for Bayesian meta-analyses of binary and time-to-event outcomes. https://doi.org/10.48550/arXiv.2306.11468
Bartoš, F., & Schimmack, U. (2025). Z-curve plot: A visual diagnostic for publication bias in meta-analysis. In arXiv. https://doi.org/10.48550/arXiv.2509.07171
Bartoš, F., & Wagenmakers, E.-J. (2025). Meta-analysis with JASP, Part II: Bayesian approaches. https://doi.org/10.48550/arXiv.2509.09850
Bem, D. J. (2011). Feeling the future: Experimental evidence for anomalous retroactive influences on cognition and affect. Journal of Personality and Social Psychology, 100(3), 407–425. https://doi.org/10.1037/a0021524
Bem, D. J., Utts, J., & Johnson, W. O. (2011). Must psychologists change the way they analyze their data? Journal of Personality and Social Psychology, 101(4), 716–719. https://doi.org/10.1037/a0024777
Erp, S. van, Verhagen, J., Grasman, R. P., & Wagenmakers, E.-J. (2017). Estimates of between-study heterogeneity for 705 meta-analyses reported in Psychological Bulletin from 1990–2013. Journal of Open Psychology Data, 5(1), 1–5. https://doi.org/10.5334/jopd.33
JASP Team. (2020). JASP (Version 0.14). https://jasp-stats.org/
Maier, M., Bartoš, F., & Wagenmakers, E.-J. (2023). Robust Bayesian meta-analysis: Addressing publication bias with model-averaging. Psychological Methods, 28(1), 107–122. https://doi.org/10.1037/met0000405