FnR (“F” stands for inbreeding coefficient and “R” stands for the numerator relationship coefficient) is an R package for the estimation of inbreeding coefficients of animals in the pedigree or their future progeny, and numerator relationship coefficients between pairs of individuals.
You can install the development version of FnR like so:
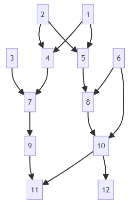
devtools::install_github('nilforooshan/FnR')Let’s use the following example pedigree.
(ped <- data.frame(
ID = 1:12,
SIRE = c(0, 0, 0, 2, 2, 0, 4, 6, 0, 6, 10, 10),
DAM = c(0, 0, 0, 1, 1, 0, 3, 5, 7, 8, 9, 0)
)) ID SIRE DAM
1 1 0 0
2 2 0 0
3 3 0 0
4 4 2 1
5 5 2 1
6 6 0 0
7 7 4 3
8 8 6 5
9 9 0 7
10 10 6 8
11 11 10 9
12 12 10 0
Let’s assume that previously, 9 of 12 animals were in the pedigree,
and inbreeding (f) and d coefficients
(diagonal elements of the diagonal matrix D in \(\mathbf A = \mathbf{TDT}'\)) were
calculated and saved.
oldped <- ped[1:9, ]
(oldrun <- resume_inbreed(oldped, export_d = TRUE))$f
[1] 0 0 0 0 0 0 0 0 0
$d
[1] 1.00 1.00 1.00 0.50 0.50 1.00 0.50 0.50 0.75
Calculating inbreeding coefficients as if f and
d coefficients from the previous analysis are not
available:
resume_inbreed(ped)[1] 0.000000 0.000000 0.000000 0.000000 0.000000 0.000000 0.000000 0.000000 0.000000 0.250000 0.015625 0.000000
Calculating inbreeding coefficients as if f coefficients
from the previous analysis are available, but not d
coefficients:
resume_inbreed(ped, f = oldrun$f)[1] 0.000000 0.000000 0.000000 0.000000 0.000000 0.000000 0.000000 0.000000 0.000000 0.250000 0.015625 0.000000
Calculating inbreeding coefficients as if f and
d coefficients from the previous analysis are
available:
resume_inbreed(ped, f = oldrun$f, d = oldrun$d)[1] 0.000000 0.000000 0.000000 0.000000 0.000000 0.000000 0.000000 0.000000 0.000000 0.250000 0.015625 0.000000
Let’s calculate the numerator relationship coefficients between two groups of animals, one’s members not among dams, and the members of the other not among sires.
calcR(ped, set1 = c(12, 6), set2 = c(11, 8), type = "notdam-notsire")Estimating inbreeding coefficients based on Meuwissen and Luo (1992)
Calculating numerator relationship coefficients based on Van Vleck (2007)
11 8
12 0.3203125 0.375
6 0.3750000 0.500
What is the inbreeding coefficient of a future progeny of 11 and 12? It is half of the relationship coefficient between the two individuals (0.320312/2).
Since "notdam-notsire" is the default type,
type = "notdam-notsire" might be omitted. Where
relationship coefficients between dams and between sires are needed,
type = "dam-dam" and type = "sire-sire" are
used, respectively.
Let’s calculate the numerator relationship coefficients between dam 7 and dams 8 and 9.
calcR(ped, set1 = 7, set2 = 8:9, type = "dam-dam")Estimating inbreeding coefficients based on Meuwissen and Luo (1992)
Calculating numerator relationship coefficients based on Van Vleck (2007)
8 9
7 0.125 0.5
The relationship coefficients between sires 2 & 6 and sires 4 & 10 are calculated as:
calcR(ped, set1 = c(2, 6), set2 = c(4, 10), type = "sire-sire")Estimating inbreeding coefficients based on Meuwissen and Luo (1992)
Calculating numerator relationship coefficients based on Van Vleck (2007)
4 10
2 0.5 0.125
6 0.0 0.750
If inbreeding coefficients of the population or previous inbreeding
estimates with a smaller pedigree are available, those can be used via
the argument f to speed up the procedure. Similarly, if
d coefficients are available, those can be used
alongside the inbreeding coefficients via the argument
d.
f <- rep(0, 12)
f[10] <- 0.25
f[11] <- 0.015625
d <- c(1, 1, 1, 0.5, 0.5, 1, 0.5, 0.5, 0.75, 0.5, 0.4375, 0.6875)
calcR(ped, set1 = c(2, 6), set2 = c(4, 10), type = "sire-sire", f = f, d = d)Estimating inbreeding coefficients based on Meuwissen and Luo (1992)
Calculating numerator relationship coefficients based on Van Vleck (2007)
4 10
2 0.5 0.125
6 0.0 0.750
For very large pedigree and small set1 and
set2, one may consider extracting a sub-pedigree by tracing
the pedigree upward from set1 and set2
(i.e., ggroups::pedup(ped, c(set1, set2))).